Rémy Ayoub Instructeur de vol © Un site d’UniversTechno
Exercice 23
Être en mesure de se diriger vers un aéroport de destination de manière efficace et sécuritaire.
Apprendre à préparer et effectuer des vols de navigation en toute sécurité.
À partir d’un aéronef, se rendre plus ou moins directement à une destination.
1. Informations aériennes
2. Météo
3. Choix d’une altitude

4. Remplir le formulaire de préparation de vol
5. Remplir un plan de vol ou un itinéraire de vol.
Le F.A.R.D.O.T du pilote
F= Fuel
A= Aéroport
R= Route
D= Distance
O= Obstacle
T= Temps et trafic
1. Décoller
2. Direction vers votre point de repère initial
3. Réinitialiser le conservateur de cap
4. Mise en cap
5. Relever l’heure
6. Réviser ou confirmer l’ETA.
7. Chercher visuellement le prochain point de repère.
8. Corriger le cap s’il y a lieu (en se dirigeant vers le prochain point de repère).
9. Relever l’heure à la verticale du point de repère.
10. Calculer la vitesse sol
Distance / Temps *60
11. Réviser ou confirmer l’ETA en fonction de la vitesse sol.
Retourner à l’étape 7
La navigation est le point culminant de votre formation. Lors de vos navigations, vous mettrez en pratique tous les principes de vol appris et étudiés lors de votre formation. Vos premières navigations seront difficiles dû à l’ensemble du travail à accomplir, mais avec l’expérience le tout deviendra naturel. La clé du succès pour une navigation réussie est la préparation!
Questions
Les raisons
Correction de cap à vue
Méthode de doublement de l’écart de route
Principe des angles d’ouverture et de fermeture
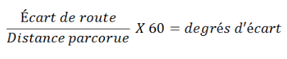
Règle du 1 pour 60

Radioralliement
VOR (voir radionavigation)
ADF (voir radionavigation)
1. Cartes à jour de la région survolée et environnante.
Pour vérifier la validité : Nav Canada
2. Choix de la route
3. Préparer la carte
4. Rassembler les informations d’aéroports.
| Qui suis-je |
| Me joindre |
| Liens utiles |